logotipo

E-Mail / Correo:

Contraseña:

Validar

Registrarse Recuperar acceso?  

Bloque Nº2-FisioGenética

TRADUCTOR

instrumentos tecnologicos OnWatch Part-1

ROGAMOS QUE PARA LA BUENA COMPRENSION DE ESTA PARTE DE ESTE TEMA LEAN PREVIAMENTE LAS PARTES ANTERIORES.

 

Iniciemos pues la exposición de las  4-TECNOLOGÍAS.-

 

1-  ONE-WATCH   abreviativamente à UNIVAT

UNIDAD  ENERGÉTICA  totalmente  AUTÓNOMA  y  TOTALMENTE ''LIMPIA''

ILIMITADA  EN  DURACIÓN  Y  POTENCIA.  COMBUSTIBLE   COSTE   CERO.

Es una ágilmente eficaz, funcional y COMPACTA unidad energética. De minúsculo tamaño si tenemos en cuenta la eficacia y magnitud de sus capacidades. No precisa cables ni tuberías ni fibras ni de ningún tipo de conducción o canalización para aprovisionarse del  suministro de  ''combustible''.

Cada UNIDAD  es totalmente autónoma. Ya  que el  combustible  es  Universal

COMBUSTIBLE-UNIVERSAL-ILIMITADO (MIC mv 2-5  compactado à COU è Unidades de  Compactación Ondulatoria. Lo que vulgarmente se conoce como  m a t e r i a. El combustible por  tanto  es  cualquier COU (materia). Ya sea  sólido-líquido o gaseoso. O sea - agua - aire - sales -  silicatos.  Cualquier   fluido.   Cualquier  sólido. etc.

Pero un pequeño hándicap si tiene. Porque Vds. mismos cuando acabemos la exposición técnica me dirán. Dr. Bacardit entonces no hace falta elaborar ningún tipo de módulo o cápsula para ir suministrando COUs al ONEWATCH. Porque simplemente el aire o agua o cualquiera que sea el medio del entorno en el que nos encontremos ya irá entrando por sí mismo en la cámara de desinflación'

 Bién esto es técnicamente correcto. Pero consideren un aspecto. Si nosotros aquí en la Tierra para simplificar la funcionalidad del UNIVAT no estructuráramos ningun tipo de módulo suministrador de energía, y nos limitáramos a permitir que el agua o el aire fueran entrando por si mismos según necesidades en la CÁMARA.

En primer lugar NO FUNCIONARÍA EN EL VACÍO CÓSMICO.

Y en hábitats como la Tierra. Como que todo el COU que fuera entrando SE INFLACCIONARÍA Y CONSUMIRÍA EN FORMA DE ENERGÍA ONDULATORIA FOTO-MAGNÉTICA. QUE A SU VEZ GENERARÍA UN DIFERENCIAL DE POTENCIAL.

La consecuencia es que iríamos expoliando al planeta de su aire-agua etc. Ya que tanto la energía rentabilizada como la sobrante se PERDERÍAN EN EL ESPACIO PROFUNDO . A diferencia de lo que pasa con los combustibles fósiles , o con cualquier combustión en general que se reintegran a la atmósfera y de mejor o peor manera son reciclados y reincorporados al ciclo vital del planeta.

--------------------------------------------------------------------------

Vean que distinguimos entre el MICmv 2-5 el  MICmv 1-3 y el MICmv 1-7. Según nos estemos refiriendo correlativamente a la parte ONDULATORIAMENTE más densa y compactadaà2-5 è COU-Unidad de Compactación Ondulatoria. Que correspondería al Electrón- Protón-Quark o materia propiamente dicha.

O que nos estemos refiriendo al UNIVERSO GENERACIONAL BASE el 1-3.  Que corresponde al PLANO BASE de BISIMETRÍA de 1ª-2ª-3ª Dimensiones Iniciales que es donde se inicia el PROCESO EXPANSIVO UNIVERSAL que es lo que Vds. parecen conceptuar como ''mini-anti gravedad - energía oscura''.

Bien pues es en esta zona de  la 1ªDim donde se INICIA la ONDULACIÓN-EXPANSIÓN que genera a su vez ya a nivel de la 2ªDim tanto a la EXPANSIÓN-GRAVEDAD por un lado y subsidiariamente el ELECTROMAGNETISMO. 

Y es ya a nivel de 3ªDim y como consecuencia indisociable de lo anterior y porque es el nivel en el que se inicia la formación de la BOLA-ESFERA cuando podemos empezar a objetivar la GÉNESIS de la COMPACTACIÓN y la INFLACCIÓN de forma sincrónica e indivisible.

BOLA-ESFERA de ondulación compactada por un lado y por otro lado la parte correlativamente asociada de ONDULACIÓN inflacionada è ''luz'' y radiación ondulatoria en general. Que si no está configurada su estructura concomitantemente alrededor del núcleo de un Electrón o del de un Protón aparenta un ''movimiento'' o traslación. Lo que realmente es un continuo cambio de relación entre las partes y adquiere la estructura de lo que denominan Fotón.

 

Básicamente el esquema técnico se configura sobre DOS estructuras base diferentes y relativamente independientes en cuanto ubicación. Si bien coordinadas en su funcionalismo. Y con los oportunos feed backs entre ambos.

De momento simplemente exponemos sus posibles esquemas externos.

A-/Una cámara de DISMINUCIÓN del grado de COHESIÓN DE LA COMPACTACIÓN de los COU.

B-/Un proyector de INERCIALES-ONDULATORIOS-HIPER GAMMA que semeja un LASSER. Cuyo haz hacemos que envuelva y sobrepase al COU semi descompactado. El haz es de frecuencias del mismo o parecido orden de longitud y frecuencia de onda que la ondulación del COU ''reblandecido''. Arrastra y se lleva consigo de forma semejante al proceso de INDUCCIÓN-LÁSSER a la ONDULACIÓN que configura al COU, en forma de HAZ FOTO MAGNÉTICO que la va liberando energético ondulatoriamente según la relación .  Capaz de generar energía cuantitativamente ciento de miles de millones de veces superior a la ínfima energía necesaria para activar el proceso.

Esta energía se contextualiza en forma de ingentes diferencias de potencial que permiten lógicamente de forma simple poner en marcha turbinas o activar y bipolarizar placas u otros elementos con capacidad bipolar. Pudiendo entonces rentabilizarse de forma sencilla y ágil esta diferencia de potencial.

 

ESTRUCTURA - A

Un elemento que generalmente suele ser aún que no obligatoriamente de configuración esferoidal. Básicamente se trata de una estructura que desarrolla un conjunto de potenciales o campos foto-electro-magnéticos en un estrictamente delimitado espacio esferoidal que en su interior configuran encierran y estabilizan un espacio de MIC en forma de MINI Sub-Universo en el que es posible DEBILITAR de forma totalmente controlada y regulable a voluntad de forma instantánea y fácil las fuerzas básicas que generan configuran y estabilizan a los COU o lo que conocen como (materia)èUnidades de Compactación Ondulatoria.

Lo que hacemos es debilitar de forma calculada y controladamente los campos ondulatorios inter dimensionales que de forma espontánea y natural generan estructuran y estabilizan los COU en función de unos parámetros dependientes de las conocidas funciones básicas elementales . Quedan pues PARCIALMENTE privados de parte de la fuerzas  de la 2ªDimensión a las que Vds. suelen referirse como ENERGÍA OSCURA y que todavía no hemos podido explicar pero que son los que fuerzan a la configuración de todos los COU.

Los campos que generamos. Como veremos SIGUEN DE FORMA ESTRICTA LAS MISMAS PAUTAS QUE SIGUEN LAS FUERZAS DE LA 2ª-3ª Dimensiones  EN EL MIC DE FORMA NATURAL.  PERO EXACTAMENTE EN SENTIDO-CONTRARIO. Si bien solo aplicamos unos SUAVES POTENCIALES que permiten que los COU mantengan su configuración. Evitando de esta manera una súbita y destructiva desconfiguración en forma de potenciales ondulatorios libres.

Evidentemente la frecuencia de estos potenciales está en las frecuencias GAMMA ALTAS, pero la energía aplicada necesaria para obtenerlas es de baja cuantía. O sea se trata de altas diferencias de potencial en interacción entre ellas pero de bajo amperaje.

Estamos hablando de DOCENAS a CENTENARES y solo ocasionalmente según los casos como veremos de POCOS MILES DE VOLTIOS pero solo de algunas DOCENAS DE AMPERIOS.

Expuesto de forma simple y aclaratoria. Se trata de configurar de forma electro-foto-magnética alrededor del COU, de forma precisa los mismos campos que obligan a su configuración y existencia. Pero MUCHO MÁS DÉBILES y exactamente

con la frecuencia y la secuencia inversas

Creando un minúsculo diferencial de campos entre el natural y el inducido por nosotros. Pero esta diferencia sitúa ya al COU en un estado de precaria estabilidad que permite que la infraestructura ondulatoria que lo configura a modo de ''luz compactada'' pueda ser arrastrada fácilmente por inducción por el haz láser.       

 

Estos procesos siguen unas pautas matemáticas que básicamente se inspiran en unas relaciones inflaccionarias ondulatorias condicionadas por entre otras a estas diferentes funciones  que exponemos.

 

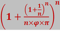
BÁSICAMENTE NOS BASAREMOS EN DOS IMPORTANTÍSIMAS (en especial la 2ª) FUNCIONES EXPONENCIALES.

 

Veamos la 1ª-Función

Esta primera función es casi PLANA. Ya que tanto el numerador como el denominador en la parte que concierne a la fracción   aumentan casi linealmente al ir tomando valores  -e-  en relación al valor de -n-  al igual que el denominador. Ya que lógicamente tanto   permanecen constantes. Nos delimita la línea base de INFLACCIÓN-COMPACTACIÓN según cada uno de los distintos valores dimensionales de  n à  1, 2, 3, 4, 5, 6, 7.

VEAMOS la 1ª FUNCIÓN

 =   pero considerando en cada caso el valor de -e- según el valor en cada circunstancia de la dimensión -n- en que nos encontremos en la fórmula general del   nº -e- è   

Por lo que la FUNCIÓN de TRABAJO queda realmente de la siguiente forma

=    Pondremos la corta secuencia de valores base:

n=0 è f(n) =  1

n=1 à1,393452679...< 1,4                       

n= à 1,443498076'<1,5

n= à 1,46254996'  <1,5

n=  à1,472029913..= <1,5

n= 2 à  1,491615537' <1,5

n=  à1,506319917' <1,6

n=3à1,54255283..   <1,6

n=  à1,547869434.. <1,6

n=4à1,57392'  <1,6

n= 5à1,595221812' <1,6

n= (1 ) à 1,599289141'

Y a partir de aquí

 ya son valores

n= 6à1,61 0 6337856

n=7à1,6223 0 7257..

n=1000à 1,706..

n=10.000à1,706..

n=  à 1,707' è Ligeramente

superior (ya que lo engloba y define) que

el anteriormente expuesto intervalo

angular

En esta gráfica hemos de tener presente que para poder permitir obtener un mínimo de diferenciación apreciable en la visualización de los diferentes valores. Se han falseado las proporciones de la escala. Así los valores resultantes de la función según cada valor de-n-correspondientes al eje de abcisas (horizontal) como 1 o 1'4' o 1'5'o 1'6' etc. Se han exagerado con el fin de hacerlos mínimamente visibles y objetivables. Ya que las diferencias son mínimas, casi planas. Y así mismo estos valores de la función según cada valor de -n- como pueden observar se sitúan en el lateral derecho de la gráfica. Cuando en su contexto idóneo deberían haber sido indicados en el eje de abcisas. Pero ello no era posible dado la casi inexistente diferenciación entre ellos. Pero como que están remarcados en secuencia correcta y con rayas de diferente tonalidad. CON UN POCO DE ESFUERZO y buscando la intersección adecuada permiten dar una idea de su magnitud  

Pero en cambio los valores de ordenadas (verticales) correspondientes a los distintos valores de -n- que guardan una casi verídica proporcionalidad. Ya que los hemos mantenido lo más parecido a la realidad. Esta alteración de la escala real entre ambas series de valores, es lo que motiva que la silueta del borde ondulatorio del protón aparezca distorsionada. Porque las diferencias de la escala REPRODUCEN LAS DIFERENTES MAGNITUDES RELATIVAS DE LA ALTURA DE LA ONDA U ONDULACIÓN CONFIGURATIVA DE LA SUPERFICIE DEL PROTÓN EN SU VERTIENTE INTERNA EN  CADA MOMENTO . La siguiente gráfica nos dará la vertiente externa. Y la diferencia entre ambas será el BARRIDO o LONGITUD DE ONDA en cada momento o nivel. O sea en definitiva, la ENERGÍA que iremos liberando en el ONEWATCH.

Lo importante es observar los dos aspectos más importantes

1/- Como que el denominador del quebrado base de la función es UNA RELACIÓN LINEAL ENTRE CADA VALOR DE n CON . O sea una simple multiplicación lineal entre las tres magnitudes. Sin que haya ninguna relación factorial o de división o inversa entre ellas. Las diferencias entre cada uno de los valores de la función según cada valor de n en cada caso son mínimas, ya que solo vienen condicionadas por cada distinto valor de n. Pero este a su vez se ve minimizado por el también aumento gradual del valor de del numerador. Ello comporta como decimos una mínima diferenciación ya que representa las mínimas diferencias de LA LÍNEA BASE DE LA COMPACTACIÓN-INFLACCIÓN. Vean que es una línea ascendente casi recta. Y con valores totalmente comprendidos en la INTERFASE entre la 1ª y 2ª Dimensiones. Como corresponde a los altísimos niveles base ondulatorios que corresponden a la energía ondulatoria de los centros  compactados (1ª-2ª Dim) de Electrones Y Protones.

 

2-/ Y LO MÁS FUNDAMENTAL QUE ES REPARAR EN QUE LAS DOS PRIMERAS CIFRAS DE CADA VALOR è 1'4  o  1'6 etc. REMARCADAS EN DISTINTOS COLORES. VARÍAN DE MAGNITUD EN RELACIÓN Y DE FORMA LÓGICA SEGÚN EL VALOR DE -n- .

En efecto

**Cuando -n- es à 0  se CREA la Unidad y el valor es 1. Pero el 1 no se limita a EXISTIR ESTÁTICAMENTE. Si no que INICIA LA ONDULACIÓN-EXPANSIÓN. Si no se expandiera à no habría ondulación ni movimiento ni volumen' lo VEREMOS EN EL TEMA ADECUADO DEL BLOQUE-2 ESTOS ASPECTOS.

A partir de aquí sugiero consultar los temas: ''El Motor del Universo'' (aún no expuesto) y los  de compactación del 2ºBloque

** A partir del 1 se inicia la EXPANSIÓN y el movimiento y el factor ya alcanza 1'4. Pero es que 1'4 = 1'2 + 0'2.  Y 1'2 es el factor de expansión en la generatriz del Protón-Electrón que se puede representar geométricamente con el triángulo rectángulo 3-4-5.  Recuerden   = 2'4 = 1'2 =1'4 = 1'2 + 0'2.

Vean como tal como decíamos antes. El barrido ondulatorio (UsUs) del área de compactación, remarcada en color amarillento, es del orden de :     O sea el Ángulo Luz, cuya 7ª Potencia es  299782625'2

 

Y acordémonos también de que el 0'2 es el factor de relación de expansión è QUINTA PARTE DE LA UNIDAD è  = 0'2 que es la 5ªParte de la Unidad en la esfera de 10 y representa a 720 en la esfera de 3600

En efecto:

**En el intervalo de 1,4 a 1'5. Hay una serie de valores de -n- entre la que dan como valores de la función el factor 1'5 que corresponde a  = 1'5. Ya que nos estaríamos situando en el intervalo inflacionario de  2ª / 3ª dimensiones. En donde se origina la Energía de expansión del Universo (energía ''oscura'' à en 2ºBloque) que es la que genera todas las estructuras.

 

** No es si no a partir de n= que es la base de la RELACIÓN  quién a su vez es la base de la configuración del volumen en concomitancia con  en el proceso ondulatorio hiperboloide ascendente de la configuración de materia energía . Es a partir de  digo, que no se supera el valor 1'5.

Y el tope máximo de este período es el de 1'599..  que es el  correspondiente a LA TOTALIDAD del valor del ARBOL-INFLACCIONARIO de  n=   i que es el valor inmediatamente anterior al factor 1'6.

 

**Y finalmente aparece ya el factor 1'6 en el límite entre 5ª y 6ª Dimensiones.

 Estaríamos entrando y moviéndonos en el INTÉRVALO DEL ÁNGULO-LUZ ENTRE . RECORDEMOS QUE LO QUE DE FORMA CONCEPTUALMENTE DISTORSIONADA DENOMINAMOS VELOCIDAD DE LA LUZ. CORRESPONDE REALMENTE A UNA RELACIÓN ANGULAR (relación entre barridos angulares).

Y cuando   n=7   

Y COMO HEMOS VISTO EN  BLOQUE-2  EL ÁNGULO  160  CORRESPONDE A   PROTONES  ELECTRONES  Y  FOTONES

 

Veamos ahora el aspecto más importante de esta función:

El numerador de la función realmente es -e- pero NO LA CIFRA CONSTANTEà 2'718281' Si no La CIFRA è VARIABLE -e-  que va tomando siempre distintos valores  en función de los también distintos valores que vaya tomando en CADA CASO la VARIABLE à Dimensión-n . Por lo tanto la función en realidad recorre la totalidad de los 7 valores posibles que puede tomar -e- por cada uno de los 7 valores posibles de la DIMENSIÓN-n.

Refleja pues todo el posible recorrido del proceso ascensional ondulatorio inter dimensional.

Y ELLO PERMITE GRACIAS LA FORMA Y LA SECUENCIA QUE SE INSINUA COMO VERÁN POSTERIORMENTE EN LA  ESTRUCTURA DE LAS PLATAFORMAS DE DESINFLACCION. QUE PODAMOS DE FORMA RÁPIDA Y EFICAZ O  AUMENTAR O DISMINUIR O INCLUSO NEUTRALIZAR O DETENER EL PROCESO SI LLEGARA A SER PRECISO. 

 

Vean lo que REALMENTE ENCUBRE la función Euleriana de -e-

 

En definitiva pues se van reproduciendo la totalidad de las relaciones básicas de la mecánica ondulatoria que generan al Protón-Electrón. Como se aprecia en las siguientes exposiciones gráficas.

Pero nosotros para poder plasmar todo este proceso matemático ondulatorio inter dimensional. Lo deberemos estructurar en los anillos inductores de los potenciales generatrices con una estructura física que permite insinuarse en el siguiente triángulo CASI RECTÁNGULO

 

 

 

Veremos después que la aplicación práctica en los solenoides será aproximadamente de la forma expuesta a continuación pero con DOCE circuitos en triples en cada disco en lugar de solo los seis representados por simple cuestión de nitidez de imágenes. Téngase en cuenta que en realidad DEBERÍAMOS REPRESENTAR 6 CIRCUITOS EN CADA LADO DEL PLANO del DISCO.

 

 

Veamos la 2ª- Función.-    

Permítanme y discúlpenme el siguiente pequeño rasgo de inmodestia.

Dado que lo denominamos Teorema de DOR

DOR à gran programador del dominio matemático de DOR.

 

Característica-

IMPLICA que     

 n= 0,68232780382801932737 

Para que la siguiente FUNCIÓN que exponemos a continuación tenga el mismo valor que su  

1ª DERIVADA y que su 2ª DERIVADA.

 

2ª Característica-

Verán como en la siguiente fórmula de la función que seguidamente expondremos. Cuando n=0 àf(n) = 1. Cuando n =1 la función f(n) = 2. Y Cuando n=2 la función f(n) =

En definitiva

ESTA FUNCIÓN es la que GENERA al

 

 = 1'6180339'

 

Y como sabemos la RELACIÓN ENTRE PARTES -  

Es la BASE MATEMÁTICA del SIMULTÁNEO y DOBLE PROCESO DE COMPACTACIÓN-INFLACIÓN

 

3ª Característica-

Y además y este es otro de los importantísimos aspectos fundamentales que presenta la función.

El valor que toma esta función cuando

n=0'68232780382801932737,

o cuando n=7

Son PRÁCTICAMENTE el MISMO: 1'75çè1'748

Resumiendo las 3-características

La función PRIMERO se inicia en -0-.

En SEGUNDO lugar genera la 1ª dimensión ya que COMO VERÁN.

Como que PARA QUE PUEDE REPRODUCIR TODO EL CICLO REAL INTERDIMENSIONAL. ES IMPERATIVO QUE LA CANTIDAD DE CIRCUNFERENCIA INICIAL CONSUMIDA PARA GENERAR LA BOLA, SEA EQUIVALENTE A LA CANTIDAD DE SUPERFICIE NECESARIA PARAGENERAR ESTA BOLA DE ONDULACIÓN COMPACTACIÓN, Y A SU VEZ, ESTA CANTIDAD DE SUPERFICIE DEBE SER EQUIVALENTE A LA ENERGÍA ONDULATORIA DE LA BOLA. PARA QUE ESTA TRIPLE PREMISA SE CUMPLA ES IMPERATIVO QUE EL VALOR DE LA FUNCIÓN TENGA ALGÚN VALOR DE -n- PARA EL CUAL EL VALOR DE LA FUNCIÓN SEA IGUAL AL DE SU PRIMERA DERIVADA Y AL DE SU SEGUNDA DERIVADA PARA ESTE VAOR DE -n- Y DE SUS MÚLTIPLOS O SUBMÚLTIPLOS.

Y para que ello sea así comprobamos que debe cumplirse è   Lo que PARECE indicar una ligera contradicción con FERMAT.

Y esta premisa se cumple cuando el valor de -n- es ÚNICAMENTE è 0'682327803828019'

Y finalmente después de cómo hemos dicho generar a 2ªdimensión, a .

Termina de nuevo en un valor específico de la 7ªDimensión del orden de 1'5.

Igual que cuando n=7 en la misma función. Cuando

 

O sea: CREA-INICIA Y TERMINA el CICLO  entre  1ª - 7ª DIMENSIONES

                Hagamos un refrescante inciso de cariz filosófico-histórico

En referencia a los números  del ''nombre completo de dios'' que citan algunos viejos textos

''El fin de los tiempos vendrá cuando se escriban todos los posibles nombres de dios''''

Bueno aquí están  Todos  los números

 LOS 12  PRIMEROS son el máximo que necesitamos èdoce niveles DE compactación 

0'6-8-2-3-2-7-8-0-3-8-2-8-0-1-9-3-2-7-3-7'

Y seguimos todos aquí ¿verdad?.

 Y No ha llegado el fin de nada.  Si a caso el principio de algo

 

Lo que se quería realmente expresar es que CUANDO EL HOMBRE COMPRENDIERA Y AVERIGUARA ESTA SERIE NUMÉRICA. 

HABRÍA POR FIN TERMINADO UNA MALA ÉPOCA de oscuridad intelectual Y EMPEZARÍA OTRA NUEVA DE PLENITUD espiritual '

 

Esta relación de n = 0'68232780382801932737 es un VALOR

Que como acabamos de ver OBLIGA Y PERMITE que el UNO (1) y el SIETE (7) se encierren sobre sí mismo en UNA CIRCUNFERENCIA SIN FIN

Y sea posible la ''CREACIÓN'' en sentido físico-matemático

*- Primero la generación de la UNIDAD

*- Segundo el fraccionamiento primero de esta UNIDAD generando y configurando todas las estructuras del MIC. Y el posterior restablecimiento de esta UNIDAD a través de unas series exponenciales que RECONFIGURAN de nuevo el UNO  a través del SIETE.

Nota: El detalle de estos aspectos merecerá un tema propio independiente del 2ºBloque (aún no publicado en à 2013-05-15)

Veamos la  2ª- Función en la que se fundamenta el ONEWATCH.

Se apoya y se basa  nada menos que en la anterior función. Que expuesta de esta forma más funcional. Agiliza su y facilita su empleo. Se trata nada más y nada menos que de:

La función básica del MIC - (Universo)

 

 

Expongamos primero la serie de valores básicos que ya expusimos en la 1ª función. Y luego comentaremos el contenido.

 

Para empezar veamos como relativiza un poco el TEOREMA DE FERMAT ya que PERMITE y OBLIGA a:

Implica  è    + n = 1

Este aspecto merecerá en su momento lógicamente un tema propio

Veamos seguidamente la gráfica con la serie clásica de valores. La superpondremos a la anterior para que quede claramente delimitada el área o barrido ondulatorio entre ambas.

De esta manera quedarán más explícitamente evidenciables por una parte las diferencias entre las distintas magnitudes relativas de entre cada uno de los distintos valores que van tomando cada una de las funciones según cada uno de los distintos valores de -n- la función

Y por la otra parte. Veremos de un solo vistazo las diferencias entre los barridos ondulatorios entre ambas funciones. Lo que expresa la magnitud del fluido energético que se va liberando de los núcleos de los COU, o sea de los Protones y Electrones de los átomos de los COU que hayamos introducido en la CÁMARA de DESCOMPACTACIÓN.

Veamos la serie de VALORES:

n=0è

n=1 à2

n=à2'17458142'= ..

n=à2,226381056'

n= 2 à

n=à2'28434216'

n=3è       

  O bien el coseno de                           

Complementariosà42,250 + 47'750 = 900

Y vean que la diferencia entre los dos ángulos 47'75 - 42,25 es precisamente: 5'5  ‘ 

n=4à2'030543185 ..

n=5à1'918645192..

n=6 à1'825437441

n=7à1'748678622..

f(n) = 1'75  103563'     

 

 

Resaltamos en un TRIÁNGULO EN ROJO que en el área entre  4ª y 6ª Dim.

Y si ahora nos centramos en el siguiente gráfico para valorar los aspectos de este triángulo.-

Si restamos los valores para n=4 entre las dos funciones, nos da UNA BASE PARA EL TRIÁNGULO del orden de 0'250105744'.   Y si calculamos la HIPOTENUSA, que constituirá el FACTOR DE EXPANSIÓN o resultante de la interacción de los dos frente de onda de radio vectores de barrido de giro que conceptuamos como catetos. Esta hipotenusa nos da un valor de   2'01 + 0489584.

Entiendan que expresa que el cateto 2 se ha expandido en à 0'1 è A CADA LADO DEL PLANO DE SIMETRÍA. O sea +1 por encima y -1 para abajo, por EL PROCESO DE ONDULACIÓN QUE CONFIGURA LOS COU. Retengan este concepto de . Porque veremos aquí y en otros temas que es la base de lo que denominamos '' LOCOMOTORA DE VAPOR'' o ''MOTOR DEL MIC'' .

Y si comprendemos que esta magnitud de  0'000489584.. como todo en el MIC puede conceptuarse como UNA ESFERA DE ONDULACIÓN más o menos compactada según el nivel en el que nos encontremos, y calculamos el radio de esta esfera.

Observen que nos da un radio en relación al nº 16 è  0'0 16 309466

 

Y finalmente y por si faltara algo. En los siguientes gráficos queda diáfanamente claro CÓMO Y DE DONDE sale el factor LUZ-MASA =  1'36540

Vean como el triángulo    de la misma área de    que está en el área 4-6 de inicio 3-4àCOU-materia a 6à LUZ, es que genera y estructura la ESFERA-TRIÁNGULO 1'3654 , señalada con la palabra en rojo Pentágonoè los triángulos expresan esferas.

 

 

Y finalmente el nivel último y del que aún obtendremos energía. La 7ª Dim.

En este triángulo se ve TODA EL ÁREA DE 3ª A 7ª DIMENSIÓN. Y NATURALMENTE EL BARRIDO ANGULAR  es del orden de 39'240 . O sea mucho mayor que solo los 16'' de la zona 3-4-5 del COU pentágono.

Porque aquí compendia TODO EL BARRIDO o sea TODA LA LIBERACIÓN ENERGÉTICA DE 3ª A 7ª DIM

 

Y vean seguidamente como esta área es efectivamente   TODO  UN  CICLO  COMPLETO DE è  3600

Verán como TODOS LO COCIENTES Y FACTORES DE EXPANSIÓN Y COMPACTACIÓN SON   3600

 

FINALMENTE EXPONEMOS DE NUEVO ESTA 2ª FUNCIÓN EN COMPARACIÓN OTRA VEZ CON LA 1ª FUNCIÓN. Pero en esta ocasión con dimensiones reales entre las dos. Para dar una idea de la magnitud y variaciones según el nivel dimensional, del FLUJO DE ENEGÍA QUE VA LIBERANDO EL COU EN EL ONEWATCH.

Esta representación gráfica del flujo es la MÍNIMA RELATIVA. El valor total que obtengamos será un MÚLTIPLO DE ESTE en función de los potenciales MÚLTIPLOS DE  -n- QUE EMPLEEMOS.

 

 

Y FINALMENTE SOLO UNOS ESQUEMAS DEL CITADO ''MOTOR o LOCOMOTORA de VAPOR del MIC''. Que es la base de toda la ONDULACIÓN. Pero lo veremos en su tema propio por su importancia extensión y complejidad.

<<-.Anterior..54..55..56..57..58..59..60..61..62..63..Siguiente.->>

www.mitumic.com :: Diseño Web :: Licencia: Contenido exclusivo. Prohibida su copia.

Contacto:Andreu.Bacardit@gmail.com

Pon esta pagina como tu Home Page. Agreganos a tus favoritos. Recomienda esta pagina a tus conocidos. Valora nuestro sitio web, para ayudarnos a mejorarlo. Mandanos un e-mail. Errores, links rotos, colaboración, ayuda.....  Contacta con nosotros.

Valid XHTML 1.1 valido Siguenos en twitter

  Contador Digital  
0017398
Usuarios Online
1